Cada Genética de Elite tiene un gusto especial, cada Genética de Elite genera ese interés único en la ganadería argentina, cada evento renueva el interés por lo mejor de nuestra ganadería con un ofrecimiento que se supera edición tras edición.
Es que Genética de Elite surgió como un proyecto único en su tipo creado por el gran Carlos Ojea Rullán y su familia, y que hoy se replica en algunos lugares del mundo, por eso genera el interés de mas de 500 personas en el mítico Palermo y mas de 6.000 siguiéndolo a través del streaming. No es un evento mas, es «el» evento del año porque además mucho de lo que se vende o vendió, participó o participará con sus descendientes en las principales exposiciones con logros importantes, seguramente mucho de lo vendido o sus descendientes dejarán huella en cada raza.
A través de las firmas Sáenz Valiente, Bullrich y Cía. junto a O´Farrel a cargo de la subasta en un marco inigualable en lo local e internacional; y que a futuro se presenta en franco crecimiento por factores ya conocidos por todos.
Tras los presentes entregados con la totalidad de los presidentes de cada Asociación, un emocionante video del Banco de Alimentos fue el preámbulo de una faceta solidaria que siempre tiene el remate en el que se logró recaudar 36 millones de pesos.
Del primer al ultimo lote -se vendieron mas de 100- el remate fue contundente. Un concierto de manos, interés, pujas y valores importantísimos. Alternado razas y martillos el remate fue ágil, con muchos lotes a venta, con teléfonos sonando y manos arriba en cada lote. Con la base importantes de las preofertas -algunas con hasta 15 realizadas- el remate fluyó, alcanzando valores realmente importantes tanto para embriones, semen, elecciones y como siempre animales compartidos al 50%.
Y es a veces difícil poder describir con palabas lo ocurrido, mas aún teniendo en cuenta que este remate siempre funcionó, incluso en los peores momentos de la ganadería en años atrás. Claro, hoy el momento es opuestamente inverso, con una realidad y un futuro inmejorable, para creer, para crecer y para pensar en una ganadería mas eficiente a nivel país. Quizás allí se entiende tanta intención de invertir en genética de nuestras cabañas sumado a manos extranjeras que estuvieron presentes.
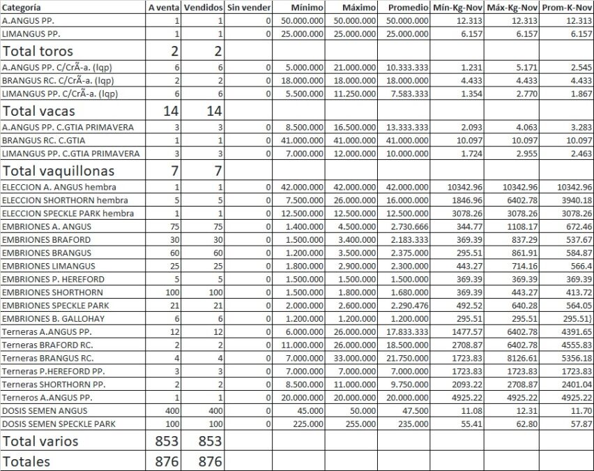
Sin dudas para hablar específicamente de números alcanza con mirar «el excel», ese que fríamente demuestra el poder de la pasión e inversión en una noche histórica, por valores y por volúmen.
Los negocios:

Organizador: Carlos Ojea Rullán
Cabañas: El Señuelo, Arandú, La Juanita, Tres Molinos, Don Nicanor, Cía. Arg. de Haciendas, Los Murmullos,, La Alianza, Quequén Sur, Las Blancas, Las Tranqueras, Don Cholo, El Cortijo, Don Romeo, Est. La Negra, La Mercedes Pilar y San José (Angus); Doña Evangelina, Pozo de la Carreta, Don Pedro, Santa Lucia, Rincón de Iberá, El Porvenir, La Juanita, El Candil, Quilpo Norte y Melincuá (Brangus); La Dominga, Los Orígenes, El Amargo, La Doro, Mirunga y Laguna Limpia (Braford); La Elisa, Los Pirulos, Manolo Gaucho, Toscanita, La Juanita y La Fortaleza (Limangus); San Miguel, Santa Cecilia y Doña Angelica (Shorthorn); Los Murmullos, JB Caldenes y La Juanita (Polled Hereford); La Juanita, El Señuelo y Ojea Rullán (Speckle Park); y La Trinidad (Belted Galloway).
Consignataria: Saenz Valiente Bullrich y O´Farrel
Remate: Físico + streaming
Plataforma/Lugar: Desde Palermo y por Canal Ganadero
Martillo: Gervacio y Fernando Saenz Valiente – Iván L. O´Farrel
Piezas: 801
Plazo: al 1° de Febrero 2024
Fuente: Bicondoa – Hinding
Informe: Hinding / Bicondoa / Bodanza


























